Volume 8, Issue 4 (12-2020)                   Jorjani Biomed J 2020, 8(4): 17-25 | Back to browse issues page


XML Print


Download citation:
BibTeX | RIS | EndNote | Medlars | ProCite | Reference Manager | RefWorks
Send citation to:

Hosseini S A. The Effects of Continued Training and High Intensity Interval Training along with Citrus Aurantium on Aerobic Power, Heart Weight, Adipose Tissue Weight and Body Weight of Elderly Rats. Jorjani Biomed J 2020; 8 (4) :17-25
URL: http://goums.ac.ir/jorjanijournal/article-1-770-en.html
Department of Sport Physiology, Marvdasht Branch, Islamic Azad University, Marvdasht, Iran , alihoseini_57@miau.ac.ir
Full-Text [PDF 515 kb]   (3889 Downloads)     |   Abstract (HTML)  (13572 Views)
Full-Text:   (2942 Views)
Introduction
Aging is a destructive process that is associated with significant reductions in bone density, muscle mass, and brain tissue, as well as leading to physiological, functional, and metabolic disorders (1,2). Studies have shown that, with the growing population of the elderly in the 21st century, the medical community is facing new complexities and challenges in the diagnosis and treatment of age- related diseases (3).
Aging can cause irreversible abnormalities in the cardiovascular system that manifest as chronic heart failure. This phenomenon can be prevented by modifying the lifestyle and its complications, such as disability and death, can be reduced. With increasing age, changes occur in all organs as well as in the cardiovascular system. Every decade, increasing age affects the entire cardiovascular system, even in the absence of pathological factors. These age-related changes in cardiovascular physiology are different from the pathological levels that increase to their maximum in old age (4).
The structure and function of the cardiovascular system are significantly affected by the aging process; so that middle age and old age are associated with molecular changes in the heart muscle. Also studies have indicated that aging is associated with increase in apoptotic markers (5). By understanding the mechanism of aging and the factors that aggravate and modulate cardiovascular disorders, its process can be slowed down to some extent and undesirable complications can be prevented. Indeed exercise restores the physiological structure of the heart. This exercise- depending restructuring, is performed by multiple factors and different messaging pathways and requires a change in the activation of the expression of many genes involved in heart structure and function. In this regard, researches have shown that exercises improve the glucose transportation into muscle tissue (6) physiological conditions of increasing protein biosynthesis as well as increasing the strength, volume and function of muscle mass, hypertrophy of fast-twitch fibers and also reducing fat mass. Therefore, considering these positive physiological effects of exercise in the elderly people, it seems that the use of exercise will maintain or even increase muscle mass, increase muscle strength and reduce fat mass (7,8).
On the other hand, the use of herbal supplements and medicines in the treatment of diseases and metabolic disorders has become widespread among the general public. Consumption of foods containing flavonoids has reduced cardiovascular disease- induced mortality (9–11). Citrus aurantium (Ca) contains small amounts of alkaloids such as synephrine and octopamine. These substances are present in very low concentrations in Ca and are known as weight reducers. These alkaloids are claimed to act in a manner similar to ephedra alkaloids, but this has not yet been carefully studied in a clinical trial study. According to researches, flavonoids have a wide range of pharmacological effects, including inhibition of oxidation of low molecular weight lipoproteins, prevention of platelet aggregation and the stability of immune cells; therefore they are used in the treatment of mental disorders, viral infections, edema and allergies. Previous studies have shown that the consumption of Ca extract has antioxidant and free radical scavenging effects in cardiac muscle cells following hydrogen peroxide (H2O2)- induced cell damage (12).
Consumption of Ca hydro- alcoholic extract also reduced inflammatory factors in cardiac cells of rats with cardiac ischemia (13). Due to the fact that exercises with different intensities can have different effects on aerobic power and body composition, as well as the lack of studies on the interactive effects of exercises with different intensities and Ca consumption, the present study aimed to investigate the effect of continued training (CT) and high intensity interval training (HIIT) along with Ca on aerobic power and body composition of elderly rats.
Materials and Methods
Animals and treatments
In this experimental study, 42 elderly rats with mean weigh of 270- 320 g and mean age of 14- 18 months were purchased from animal lab of Marvdasht Branch of Islamic Azad University and transferred to the laboratory for a one-week adaptation period. Then all rats divided into 7 groups of 6 rats including control, sham, HIIT, CT, HIIT+Ca and CT+Ca groups. During eight weeks, the Ca groups received 300 mg/kg Ca peritoneally (14) and CT groups ran on treadmill for five sessions per week with intensity of 85%- 100% of maximum oxygen consumption (VO2max) and speed of 15-25 m/min and HIIT groups ran on treadmill for five sessions per week with intensity of 65% of VO2max and speed of 20-25 m/min (15). Forty- eight hours after the last training session and Ca consumption, the aerobic power of rats was measured by the maximum speed running test on rodent treadmill. Then 48 hours later, the rats were anesthetized with ketamine and xylazine (with overnight fasting) and the heart and adipose tissues were removed and measured by digital scale. All experiments involving the animals were conducted according to National Institutes of Health Guide for the Care and Use of Laboratory Animals. This study received introduction letters from Marvdasht Branch of Islamic Azad University with ethical code: IR.IAU.M.REC.1398.037.
HIIT and CT protocols
To perform HIIT and CT, rats at the beginning of each warm-up session ran on a treadmill for 3 minutes with intensity of 10 m/min, and then HIIT performed with intensity of 85- 90% of VO2max, equivalent to seven 1-minute attempts and speed of 31 m/min and active rest between intervals with 6 attempts with speed of 15 m/min in the first week, which gradually increased with an average of 2 m/min per week to 10 1-minute attempts with speed of 55 m/min and active rest with 9 attempts of 1 minute (between intervals) at speed of 25 m/min in eighth week. Also, CT started with an intensity of 65% of VO2max, which is equivalent to a speed of 20 m/min and a time of 15 minutes in the first week, which gradually reached a speed of 25 m/min and a time of 31 minutes in the eighth week. The training started with warming up for 3 minutes at an intensity of 10 m/min and 2 minutes at an intensity of 15 m/min and cooling down finished after 1 minute running at an intensity of 15 m/min and 2 minutes at an intensity of 10 m/min (15).
Measurement of adipose tissue weight and aerobic power
To measure adipose tissue mass, the weight of adipose tissue in mesenteric, inguinal, and retroperitoneal as well as visceral organs including heart, liver, spleen and kidneys were measured. To measure the aerobic power, rats first warmed up for 5 minutes on a rodent treadmill at a speed of 6 m/min with zero-degree incline, then every 3 minutes, the speed increased by 3 m/min until the rats became exhausted and could no longer continue. The criterion for reaching VO2max was the inability of the rats to continue the training protocol and three consecutive collisions with the end of the treadmill (in a period of 1 minute). Therefore VO2max of rats estimated based on running speed (16).
Statistical analysis of data
Shapiro– Wilk, one way ANOVA with Tukey’s post- hoc tests were used for analysis of data (P≤0.05).

Result
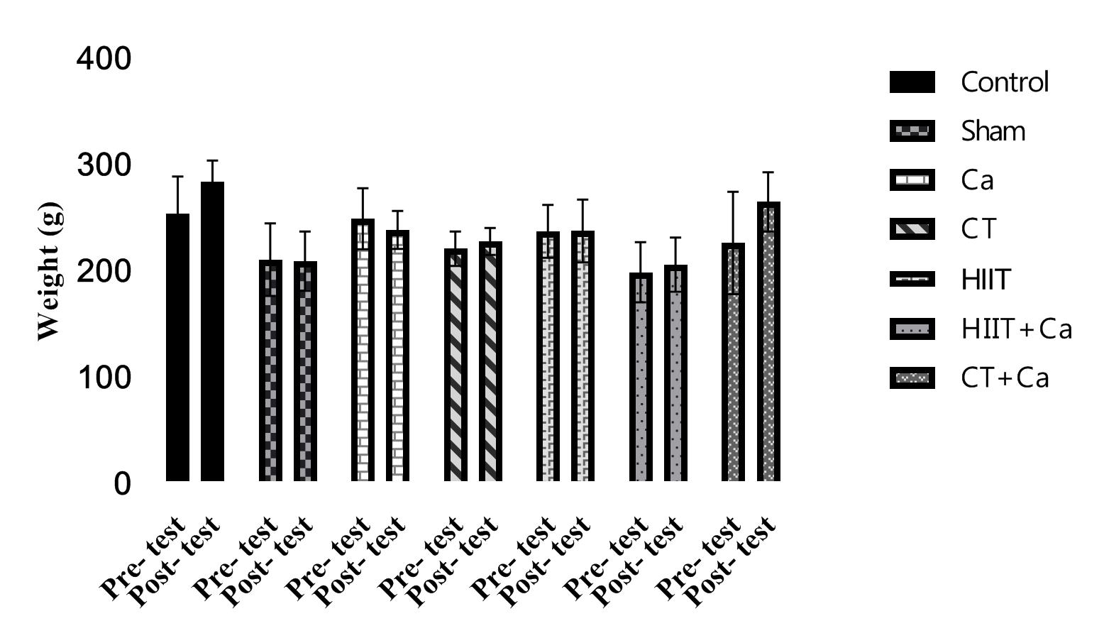
Aerobic power, weight of rats, heart and adipose tissue are presented in figure 1- 4. The results of one way ANOVA test showed that there were significant difference in aerobic power (P=0.005), weight of heart (P=0.001) and weight of adipose tissue (P=0.001) in research groups nevertheless there were no significant different in changes of weight in research groups (P=0.31). The results of Tukey’s post- hoc test showed that aerobic power in CT (P=0.04), HIIT+Ca (P=0.04) and CT+Ca (P=0.04) groups was significantly higher than control group (Fig. 1); weight of heart in HIIT+Ca (P=0.02) and CT+Ca (P=0.03) groups was significantly higher than control group also in CT (P=0.01), HIIT+Ca (P=0.005) and CT+Ca (P=0.01) groups was significantly higher than sham group (Fig. 2) also weight of adipose tissue in HIIT+Ca group was significantly lower than control (P=0.01), sham (P=0.004), Ca (P=0.002), CT (P=0.001), HIIT (P=0.02) and CT+Ca (P=0.01) groups (Fig. 3).
 
 
Figure 1: Aerobic power levels in research groups. Data were presented as mean ± SD. Statistical analyses were made using the one-way ANOVA with Tukey’s post- hoc tests. Ca: Citrus aurantium, CT: continued training, HIIT: high intensity interval training
* P≤0.05 significant increase compared to control group

Figure 2: Weight of heart in research groups. Data were presented as mean ± SD. Statistical analyses were made using the one-way ANOVA with Tukey’s post- hoc tests. Ca: Citrus aurantium, CT: continued training, HIIT: high intensity interval training
* P≤0.05 significant increase compared to control group
+ + P≤0.01; + P≤0.05 significant increase compared to sham group
                                                                                                                                                 
 
Figure 3: Weight of adipose tissue in research groups. Data were presented as mean ± SD. Statistical analyses were made using the one-way ANOVA with Tukey’s post- hoc tests. Ca: Citrus aurantium, CT: continued training, HIIT: high intensity interval training
*** P≤0.001 significant decrease compared to CT group
+ + P≤0.01 significant decrease compared to control, sham, Ca, and CT+Ca groups
# P≤0.05 significant decrease compared to HIIT group
 
 
 
Figure 4: Weight of rats in research groups. Data were presented as mean ± SD. Ca: Citrus aurantium, CT: continued training, HIIT: high intensity interval training
 
Discussion
Findings of the present study showed that CT for two months significantly increased the aerobic power of elderly rats. However, CT and HIIT had no significant effect on the heart weight of elderly rats. Consistent with the findings of the present study, Azarian et al., (2019) reported that eight weeks of endurance training significantly increased the aerobic power of rats with Alzheimer's disease (17), nevertheless regarding to ineffectiveness of HIIT on aerobic power, inconsistence with the findings of the present study, Constans et al,. (2020) reported that eight weeks of HIIT increased the aerobic power of rats (18). One of the reasons for the inconsistency of the reports of the Constans et al., (2020) with the present study is the type of subjects so that in the noted study used adult rats; however, the subjects of the present study were healthy rats. Consistent with the findings of the present study regarding the ineffectiveness of HIIT and CT on heart weight, Raufi et al., (2020) reported that eight weeks of resistance training had no significant effect on heart weight and left ventricular weight in obese rats (8). The results of the present study also showed that HIIT for two months had no significant effect on adipose tissue weight and body weight of elderly rats. Contrary to the findings of the present study, Keikhosravi et al., (2020) reported that eight weeks of HIIT significantly decreased adipose tissue weight and body weight in elderly ovariectomized rats (19). Exercise has been reported to be associated with increased aerobic power, physiological changes such as changes in heart rate, increased blood volume and hemoglobin, decreased blood pressure, blood distribution, and decreased lactic acid. Therefore, endurance training with this mechanism may increase aerobic power and increase lipolysis and ultimately lead to weight loss (20). Many studies have shown that exercise is the best way to prevent and combat aging- induced sarcopenia by improving the physiological function of skeletal muscle tissue. Therefore, considering these positive physiological effects of exercise in the elderly, it seems that exercise can maintain or even increase muscle mass, increase muscle strength and ultimately reduce or prevent the prevalence of sarcopenia in these individuals. Also, regarding to the effect of exercise on cardiac hypertrophy, it has been reported that long-term exercises lead to cardiac hypertrophy through the mTOR/Akt pathway, so that moderate-intensity exercise is more effective than intense exercise (21). Studies have shown that Akt1 is the major isoform in the regulation of exercise-induced physiological cardiac hypertrophy (22). The mechanism of HIIT-induced cardiac hypertrophy, as with other exercises, has been shown to be dependent on the PI3K/Akt/mTOR signaling pathway.
In the present study, Ca administration for two months had no significant effect on aerobic power, heart weight, adipose mass weight and body weight of elderly rats. The antioxidant, anti-apoptotic and anti- inflammatory effects of Ca have been reported in various studies. In fact, Ca is used in the treatment of some diseases due to its compounds such as flavonoids, cyclooxygenases, synephrine, as well as its antioxidant effects (23). Ca has been reported to contain bioflavonoids that play important roles in cell biology. Researchers have shown that the ingredients in this herb, such as synephrine and pectolinarigenin, are among the most effective antioxidant, anti-inflammatory and anti-cancer flavonoids. However, studies on the mechanism of action of Ca on aerobic power and body composition are very limited and have not yet been fully understood. Regarding the effects of Ca on the process of apoptosis, researchers believe that Ca by modulating autophagy and modulating the AMPK-mTOR signal pathway has good biological effects on the cell, and also inhibits cell death. In vivo and in vitro studies have also shown that citric acid and L-malic acid derived from fructose of this plant reduce caspase-3 levels (24,25).
Regarding the interactive effects, the results of the present study showed that HIIT and CT simultaneously with Ca administration significantly increased aerobic power and heart weight; also HIIT along with Ca significantly reduced adipose tissue weight, nevertheless did not change body weight. Therefore, it seems that interval training along with Ca administration has a more favorable effect on increasing aerobic power and heart weight as well as reducing adipose tissue weight than either alone. Enabling to study the effects of different doses of Ca, measurement of calorie intake and calorie consumption in rats were the limitations of the present study; Therefore, it is suggested that in future studies, in addition to considering the limitations of the present study, the inflammatory and anti-inflammatory factors that are expressed in cardiac muscle tissue and adipose tissue be measured.
Conclusion
Regarding to results of present study, although CT can improve aerobic power in elderly rats, nevertheless it seems that CT and HIIT along with Ca administration can have more favorable effects on the body composition of elderly rats.
References
1. Walsh J, Scribbans T, Bentley R, Kellawan J, Gurd B, Tschakovsky M. Neurotrophic growth factor responses to lower body resistance training in older adults. Appl Physiol Nutr Metab. 2016;41(3):315–23.
2. Kaikhosravi F, Daryanoosh F, Koushkie Jahromi M, Nemati J. The Effect of High Intensity Interval Training with Genistein on Biomechanical Properties of Femur Bone in Elderly Female Rats. Jorjani Biomed J [Internet]. 2020;8(1). Available from: http://goums.ac.ir/jorjanijournal/article-1-713-en.html
3. Wilkinson D, Piasecki M, Atherton P. The age-related loss of skeletal muscle mass and function: Measurement and physiology of muscle fibre atrophy and muscle fibre loss in humans. Ageing Res Rev. 2018;47:123–132.
4. Lee H, Oh B. Aging and arterial stiffness. Circ J. 2010;74(11):2257–62.
5. Yazdanparast Chaharmahali B, Azarbayjani MA, Peeri M, Farzanegi Arkhazloo P. Increased Expression of Bax and Bcl2 Apoptosis Biomarkers in the Heart of Old Female Rats After Interval Training and Curcumin Consumption. Jorjani Biomed J [Internet]. 2018;6(4). Available from: http://goums.ac.ir/jorjanijournal/article-1-547-en.html
6. Amini Najafabadi B, Keshavarz S, Asgary S, Azarbarzin  mehrdad. The 8-week aerobic exercise improves blood sugar، HbA1c and lipid profile in women with type 2 diabetes: A Controlled Randomized Clinical Trial. Jorjani Biomed J [Internet]. 2020;8(3). Available from: http://goums.ac.ir/jorjanijournal/article-1-752-en.html
7. Mabhout Moghadam T, Mosaferi Ziaaldini M, Fathi M, Attarzadeh Hoseini S. Review the Effect of High Intensity Interval Training on Obesity- Related Hormones. Res Sport Sci Med Plants. 2020;1(1):1–18.
8. Rauofi A, Farsi S, Hosseini S. Effect of Resistance Training Along with Curcumin Supplementation on Expression of Some Regulator Genes Associated with Cardiac Muscle Structure in Obese Rats. Thrita. 2020;9(2):e106322.
9. Ghadery B, Ghazalian F, Hosseini S, Abed Natanzy H, Shamsoddini H. Effect of High-Intensity Interval Training with Eryngium Campestre on Lipid Profile and Glycemic Indices in High-Fat Diet-Induced Obese Rats. Hormozgan Med J. 2020;24(2):e98982.
10. Azizi R, Mohammadi A, Khajehlandi A. The effect of aqueous extract of barberry and selected training on some blood factors in men with type2 diabetes (AQuasi-Experimental Study). Jorjani Biomed J [Internet]. 2020;8(4). Available from: http://goums.ac.ir/jorjanijournal/article-1-764-en.html
11. Yahyaei B, Nouri M, Matmir H. Healing effects of Ziziphus jujuba hydroalcoholic extract with exercise training on histopathological changes of male wistar rats testicular tissue in response to Boldenone steroid administration. Jorjani Biomed J [Internet]. 2018;6(1). Available from: http://goums.ac.ir/jorjanijournal/article-1-588-en.html
12. Chaabane M, Elwej A, Ghorbel I, Boudawara T, Zeghal Z, Soudani N. Citrus aurantium L. peel extract mitigates hexavalent chromium-induced oxidative stress and cardiotoxicity in adult rats. Pharm Biomed Res. 2017;3(2):8–18.
13. Keshtkar S, Komeili G, Keshavarzi F, Jahantigh M. Cardio Protective Effects of Hydroalcholic Citrus Aurantium Extract on Myocardial Infarction Induced by Isoproterenol in Male Rats. J Cardiol Curr Res. 2017;10(2):00359.
14. He W, Li Y, Liu M, Yu H, Chen Q, Chen Y, et al. Citrus aurantium L. and its flavonoids regulate TNBS-induced inflammatory bowel disease through anti-inflammation and suppressing isolated jejunum contraction. Int J Mol Sci. 2018;19(10):3057.
15. Yazdanparast Chaharmahali B, Azarbayjani M, Peeri M, Farzanegi Arkhazloo P. The Effect of Moderate and High Intensity Interval Trainings on Cardiac Apoptosis in the Old Female Rats. Rep Heal Care. 2018;4(1):26–35.
16. Li F, Sun L, Zhu M, Li T, Gao H, Wu D, et al. Beneficial alterations in body composition, physical performance, oxidative stress, inflammatory markers, and adipocytokines induced by long-term high-intensity interval training in an aged rat model. Exp Gerontol. 2018;113:150–62.
17. Azarian F, Farsi S, Hosseini S, Azarbayjani M. The Effect of Endurance Training and Crocin Consumption on Anxiety-like Behaviors and Aerobic Power in Rats with Alzheimer’s. Iran J Psychiatry Behav Sci. 2019;13(4):e89011.
18. Constans A, Pin-Barre C, Molinari F, Temprado J, Brioche T, Pellegrino C, et al. High-intensity interval training is superior to moderate intensity training on aerobic capacity in rats: Impact on hippocampal plasticity markers. Behav Brain Res. 2020;398:112977.
19. Kaikhosravi F, Daryanoosh F, Koushki Jahromi M, Neamati J. Psycho- physiologic Effects of High Intensity Interval Trainings in Aged Ovariectomized Rats: a Pilot Study. Rep Heal Care. 2019;5(3):1–7.
20. Mirhosseini M, Esfarjani F, Marandi M, Khalilzadeh S, Mirhosseini H. The Effect of Yoga Exercise on Parameters of Type II Diabetes. JSSU. 2014;22(1):880–91.
21. Liao J, LI Y, Zeng F, Wu Y. Regulation of mTOR pathway in exercise-induced cardiac hypertrophy. Int J Sport Med. 2015;36(05):343–50.
22. DeBosch B, Treskov I, Lupu T, Weinheimer C, Kovacs A, Courtois M. Akt1 is required for physiological cardiac growth. Circulation. 2006;113(17):2097–104.
23. Alfarafisa N, Kitaguchi K, Yabe T. The Aging of Skeletal Muscle and Potential Therapeutic Effects of Extracts from Edible and Inedible Plants. Rev Agric Sci. 2020;8(70–88).
24. Ramezannezhad P, Heidari-Soureshjani S, Suhan T. Protective effects of some medicinal plants against myocardial hypoxia. Int J Biol Chem. 2019;12(1):112–27.
25. Lee H, Venkatarame Gowda Saralamma V, Kim S, Ha S, Raha S, Lee W, et al. Pectolinarigenin induced cell cycle arrest, autophagy, and apoptosis in gastric cancer cell via PI3K/AKT/mTOR signaling pathway. Nutrients. 2018;10(8):1043.
 

How to cite:
Hosseini S.A. The effects of continued training and high intensity interval training along with Citrus aurantium on aerobic power, heart weight, adipose tissue weight and body weight of elderly rats. Jorjani Biomedicine Journal. 2020; 8(4): 17-25.
 
 
  
 
 
 
Type of Article: Original article | Subject: Health
Received: 2020/10/15 | Accepted: 2020/11/3 | Published: 2020/11/30

References
1. Walsh J, Scribbans T, Bentley R, Kellawan J, Gurd B, Tschakovsky M. Neurotrophic growth factor responses to lower body resistance training in older adults. Appl Physiol Nutr Metab. 2016;41(3):315-23. [view at publisher] [DOI] [Google Scholar]
2. Kaikhosravi F, Daryanoosh F, Koushkie Jahromi M, Nemati J. The Effect of High Intensity Interval Training with Genistein on Biomechanical Properties of Femur Bone in Elderly Female Rats. Jorjani Biomed J [Internet]. 2020;8(1). Available from: http://goums.ac.ir/jorjanijournal/article-1-713-en.html [view at publisher] [DOI] [Google Scholar]
3. Wilkinson D, Piasecki M, Atherton P. The age-related loss of skeletal muscle mass and function: Measurement and physiology of muscle fibre atrophy and muscle fibre loss in humans. Ageing Res Rev. 2018;47:123-132. [view at publisher] [DOI] [Google Scholar]
4. Lee H, Oh B. Aging and arterial stiffness. Circ J. 2010;74(11):2257-62. [view at publisher] [DOI] [Google Scholar]
5. Yazdanparast Chaharmahali B, Azarbayjani MA, Peeri M, Farzanegi Arkhazloo P. Increased Expression of Bax and Bcl2 Apoptosis Biomarkers in the Heart of Old Female Rats After Interval Training and Curcumin Consumption. Jorjani Biomed J [Internet]. 2018;6(4). Available from: http://goums.ac.ir/jorjanijournal/article-1-547-en.html [view at publisher] [DOI] [Google Scholar]
6. Amini Najafabadi B, Keshavarz S, Asgary S, Azarbarzin mehrdad. The 8-week aerobic exercise improves blood sugar، HbA1c and lipid profile in women with type 2 diabetes: A Controlled Randomized Clinical Trial. Jorjani Biomed J [Internet]. 2020;8(3). Available from: http://goums.ac.ir/jorjanijournal/article-1-752-en.html [Google Scholar]
7. Mabhout Moghadam T, Mosaferi Ziaaldini M, Fathi M, Attarzadeh Hoseini S. Review the Effect of High Intensity Interval Training on Obesity- Related Hormones. Res Sport Sci Med Plants. 2020;1(1):1-18. [Google Scholar]
8. Rauofi A, Farsi S, Hosseini S. Effect of Resistance Training Along with Curcumin Supplementation on Expression of Some Regulator Genes Associated with Cardiac Muscle Structure in Obese Rats. Thrita. 2020;9(2):e106322. [view at publisher] [DOI] [Google Scholar]
9. Ghadery B, Ghazalian F, Hosseini S, Abed Natanzy H, Shamsoddini H. Effect of High-Intensity Interval Training with Eryngium Campestre on Lipid Profile and Glycemic Indices in High-Fat Diet-Induced Obese Rats. Hormozgan Med J. 2020;24(2):e98982. [view at publisher] [DOI] [Google Scholar]
10. Azizi R, Mohammadi A, Khajehlandi A. The effect of aqueous extract of barberry and selected training on some blood factors in men with type2 diabetes (AQuasi-Experimental Study). Jorjani Biomed J [Internet]. 2020;8(4). Available from: http://goums.ac.ir/jorjanijournal/article-1-764-en.html [view at publisher] [Google Scholar]
11. Yahyaei B, Nouri M, Matmir H. Healing effects of Ziziphus jujuba hydroalcoholic extract with exercise training on histopathological changes of male wistar rats testicular tissue in response to Boldenone steroid administration. Jorjani Biomed J [Internet]. 2018;6(1). Available from: http://goums.ac.ir/jorjanijournal/article-1-588-en.html [view at publisher] [DOI] [Google Scholar]
12. Chaabane M, Elwej A, Ghorbel I, Boudawara T, Zeghal Z, Soudani N. Citrus aurantium L. peel extract mitigates hexavalent chromium-induced oxidative stress and cardiotoxicity in adult rats. Pharm Biomed Res. 2017;3(2):8-18. [view at publisher] [DOI] [Google Scholar]
13. Keshtkar S, Komeili G, Keshavarzi F, Jahantigh M. Cardio Protective Effects of Hydroalcholic Citrus Aurantium Extract on Myocardial Infarction Induced by Isoproterenol in Male Rats. J Cardiol Curr Res. 2017;10(2):00359. [DOI] [Google Scholar]
14. He W, Li Y, Liu M, Yu H, Chen Q, Chen Y, et al. Citrus aurantium L. and its flavonoids regulate TNBS-induced inflammatory bowel disease through anti-inflammation and suppressing isolated jejunum contraction. Int J Mol Sci. 2018;19(10):3057. [view at publisher] [DOI] [Google Scholar]
15. Yazdanparast Chaharmahali B, Azarbayjani M, Peeri M, Farzanegi Arkhazloo P. The Effect of Moderate and High Intensity Interval Trainings on Cardiac Apoptosis in the Old Female Rats. Rep Heal Care. 2018;4(1):26-35. [view at publisher] [Google Scholar]
16. Li F, Sun L, Zhu M, Li T, Gao H, Wu D, et al. Beneficial alterations in body composition, physical performance, oxidative stress, inflammatory markers, and adipocytokines induced by long-term high-intensity interval training in an aged rat model. Exp Gerontol. 2018;113:150-62. [view at publisher] [DOI] [Google Scholar]
17. Azarian F, Farsi S, Hosseini S, Azarbayjani M. The Effect of Endurance Training and Crocin Consumption on Anxiety-like Behaviors and Aerobic Power in Rats with Alzheimer's. Iran J Psychiatry Behav Sci. 2019;13(4):e89011. [view at publisher] [DOI] [Google Scholar]
18. Constans A, Pin-Barre C, Molinari F, Temprado J, Brioche T, Pellegrino C, et al. High-intensity interval training is superior to moderate intensity training on aerobic capacity in rats: Impact on hippocampal plasticity markers. Behav Brain Res. 2020;398:112977. [view at publisher] [DOI] [Google Scholar]
19. Kaikhosravi F, Daryanoosh F, Koushki Jahromi M, Neamati J. Psycho- physiologic Effects of High Intensity Interval Trainings in Aged Ovariectomized Rats: a Pilot Study. Rep Heal Care. 2019;5(3):1-7. [view at publisher] [Google Scholar]
20. Mirhosseini M, Esfarjani F, Marandi M, Khalilzadeh S, Mirhosseini H. The Effect of Yoga Exercise on Parameters of Type II Diabetes. JSSU. 2014;22(1):880-91. [view at publisher] [Google Scholar]
21. Liao J, LI Y, Zeng F, Wu Y. Regulation of mTOR pathway in exercise-induced cardiac hypertrophy. Int J Sport Med. 2015;36(05):343-50. [view at publisher] [DOI] [Google Scholar]
22. DeBosch B, Treskov I, Lupu T, Weinheimer C, Kovacs A, Courtois M. Akt1 is required for physiological cardiac growth. Circulation. 2006;113(17):2097-104. [view at publisher] [DOI] [Google Scholar]
23. Alfarafisa N, Kitaguchi K, Yabe T. The Aging of Skeletal Muscle and Potential Therapeutic Effects of Extracts from Edible and Inedible Plants. Rev Agric Sci. 2020;8(70-88). [view at publisher] [DOI] [Google Scholar]
24. Ramezannezhad P, Heidari-Soureshjani S, Suhan T. Protective effects of some medicinal plants against myocardial hypoxia. Int J Biol Chem. 2019;12(1):112-27. [view at publisher] [DOI] [Google Scholar]
25. Lee H, Venkatarame Gowda Saralamma V, Kim S, Ha S, Raha S, Lee W, et al. Pectolinarigenin induced cell cycle arrest, autophagy, and apoptosis in gastric cancer cell via PI3K/AKT/mTOR signaling pathway. Nutrients. 2018;10(8):1043. [view at publisher] [DOI] [Google Scholar]

Add your comments about this article : Your username or Email:
CAPTCHA

Send email to the article author


Rights and permissions
Creative Commons License This work is licensed under a Creative Commons Attribution-NonCommercial 4.0 International License.

© 2025 CC BY-NC 4.0 | Jorjani Biomedicine Journal

Designed & Developed by : Yektaweb